Baire category theorem
Borel-Cantelli Lemma
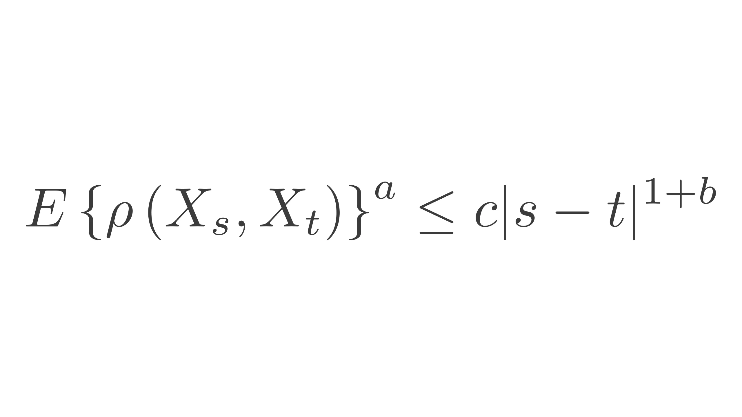
Kolmogorov continuity criteria
The De Moivre-Laplace Theorem
Why determinant is area?
Donsker's Theorem: beautiful proof

Dynkin's π−λ theorem
Heat Equation
What is Jacobian matrix?
Kolmogorov's Three-Series Theorem
Strong Law of Large numbers
Paul Lévy’s construction of Brownian motion

$L_p$ space
Polya's Criterion
Pólya's Recurrence Theorem
The Portmanteau Theorem
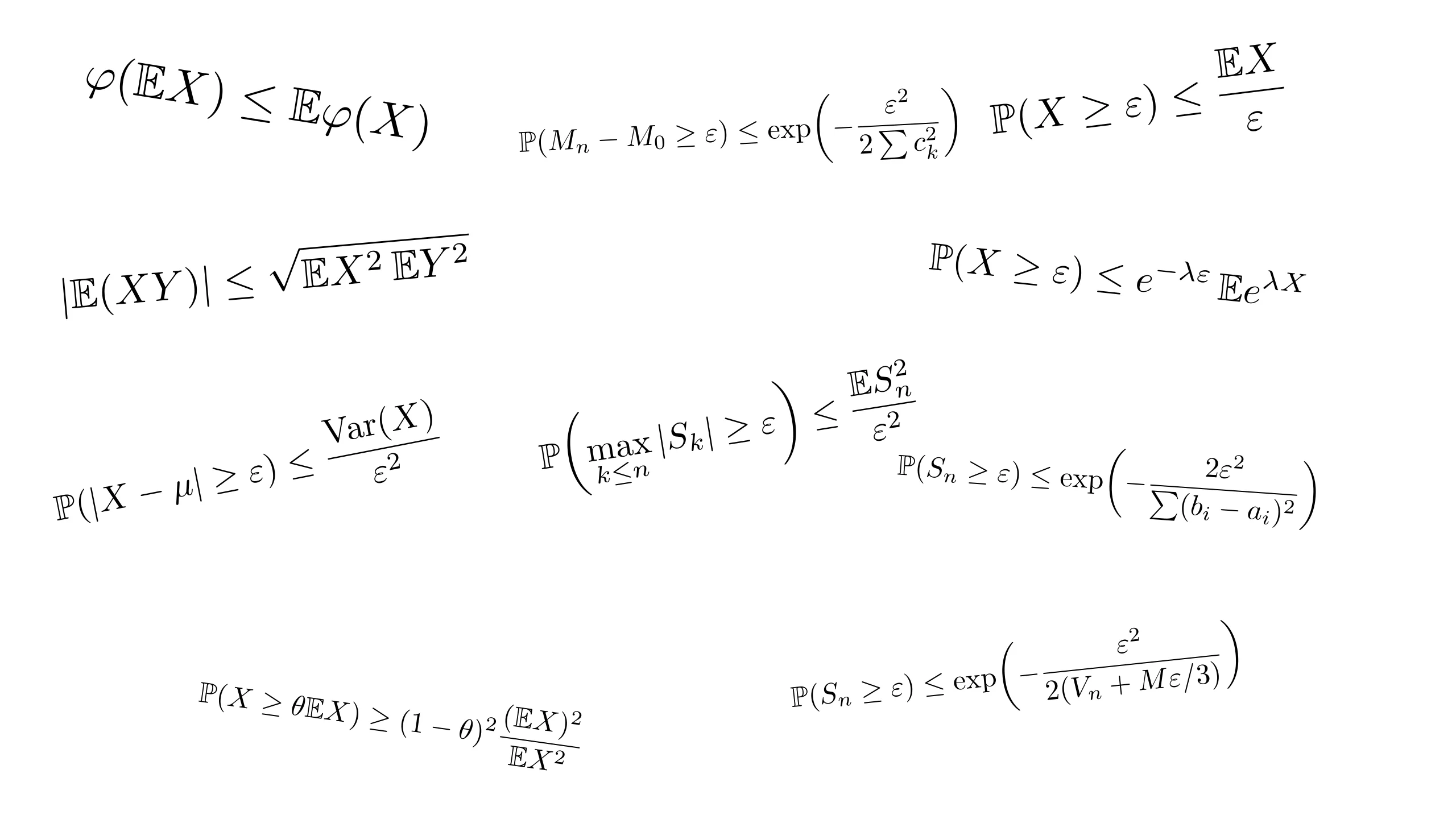
Probability Inequalities